대항해 시대(15∼18세기)에 스페인과 포르투갈, 영국 등 유럽의 탐험가들은 앞다투어 황금과 향료를 구하거나 선교의 명분을 내세워 범선의 선단을 꾸려 신세계로 향했다. 그러나 긴 항해는 결코 만만치 않았다. 망망대해에서 선원들은 불안과 우울 같은 정서 장애와 함께 피로, 잇몸 출혈, 근육통, 내부 출혈, 조직 괴사 등의 증상을 보이는 괴혈병(scurvy)으로 속속 쓰러졌다. 당시 괴혈병은 50% 이상의 사망률을 보이는 무시무시한 질환이었다.
1519년 9월 20일, 대항해 시대의 위대한 탐험가 중 한 명으로 인류 최초 세계 일주 항해의 대업을 달성한 마젤란은 빅토리아호를 필두로 5척의 선단에 270명을 이끌고 스페인 세비야 항에서 희망차게 출발했다. 마젤란의 선단은 대서양을 건너 아메리카 남단을 지나 태평양을 건넜으나, 마젤란은 1521년 필리핀에서 원주민과의 전투 중 사망했다. 결국 선단은 와해되었고, 1522년 9월 6일, 후계자 후안 세바스찬 엘카노의 지휘 아래 빅토리아호가 인도양과 희망봉을 돌아 세계 일주를 완성하며 귀항했을 때, 살아남은 자는 18명에 불과했다. 이때 항해 중 사망자의 대다수는 괴혈병으로 인해 목숨을 잃은 것으로 전해진다.
괴혈병은 긴 항해에서 극복해야 할 공포이자 숙제였다. 영국 해군의 군의관이었던 제임스 린드(James Lind)는 1747년 5월 20일경부터 약 6일간 HMS Salisbury 함선에서 임상시험을 실시했다. 그는 괴혈병에 걸린 12명의 선원을 2명씩 6개의 군으로 나누어 정상 식사와 함께 다음의 6가지 처치를 시행했다. ① 사이다(cider) 약 1쿼트(약 1.1L)/일 섭취, ② 엘릭서(묽은 황산; 당시 해독제로 쓰이던 산성 물질) 섭취, ③ 식초(항균 효과 기대) 섭취, ④ 해수(바닷물; 생리식염수 개념 - 탈수 유발 위험) 섭취, ⑤ 보리 수프 + 향신료(영양 강화) 섭취, ⑥ 오렌지와 레몬 2개씩 매일 섭취. 그 결과, ⑥번 그룹(오렌지와 레몬을 섭취한 그룹)의 환자들이 빠르게 회복되었다. 이후 1795년부터 영국 해군은 라임 주스를 의무적으로 섭취하게 되었고, 그 결과 괴혈병은 영국 해군에서 사라졌다. 이는 영국을 해양 강국으로 만든 결정적 조치로 평가되고 있다.
사람은 체내에서 비타민 C를 합성할 수 없어 반드시 외부에서 보급해야 하지만, 대부분의 동물은 스스로 비타민 C를 합성할 수 있다. 악셀 홀스트(Axel Holst)와 테오도르 프뢸리히(Theodor Frölich)는 인간과 마찬가지로 기니피그도 비타민 C를 합성하지 못한다는 점에 착안해 비타민 C를 차단하자 괴혈병이 유발됨을 발견했다.
1928년, 헝가리 생리학자 알베르트 센트죄르지(Albert Szent-Györgyi)는 소의 부신에서 한 물질을 분리하고 '헥수론산(hexuronic acid)'이라 명명했다. 4년 후, 찰스 글렌 킹(Charles Glen King)은 실험실에서 비타민 C를 분리하고 기니피그를 통한 괴혈병 실험을 통해 이 물질이 헥수론산과 동일함을 확인했다. 즉, 비타민 C의 결핍이 괴혈병의 주요 원인임을 규명한 것이다.
알베르트 센트죄르지는 이 물질이 식물에서 갈변을 방지하는 항산화 기능이 있음을 발견하고 그 기능을 추적했으며, 1933년 이 물질을 Ascorbic acid(= anti-scorbutic acid, 항괴혈병산)로 명명했다. 그는 이 공로로 1937년 노벨 생리의학상을 수상했다. 어쨌든 이 시점까지 비타민 C의 존재와 일부 생리활성이 밝혀졌지만, 그 화학적 특성과 구체적인 생리활성 기전은 아직 규명되지 않았다.
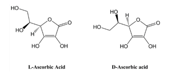
1933년, 영국 화학자 월터 노먼 호워스(W. N. Haworth)가 비타민 C의 화학 구조를 추론하고 이를 확인했다(아래 그림). 스위스 화학자 타데우스 라이히슈타인(Tadeus Reichstein) 등은 D-글루코스에서 D-소르보스를 거쳐 L-아스코르빈산으로 전환하는 반합성 경로(라이히슈타인 공정)를 개발했다. 1940년 이후, Roche와 BASF, Merck 등의 제약회사들은 이 라이히슈타인 공정을 기반으로 비타민 C의 대량 생산 체계를 구축해 시장에 출시했다.
자연에서 비타민 C는 주로 과일과 채소를 통해 섭취된다. 천연(식품 유래) 비타민 C와 합성 비타민 C는 화학적으로 차이가 없으며, 모든 정상 상태 비교 생체이용률 연구에서도 대상 집단, 연구 설계 또는 적용된 중재와 관계없이 양자 간에 생체이용률의 차이가 없었다. 이 때문에 시판되는 비타민 C(L-형)의 대부분은 합성·제조된 것이다.
L-ascorbic acid와 D-ascorbic acid는 화학식은 같지만 입체구조가 다른 거울상 이성질체(enantiomer)인 광학 이성질체(optical isomers)이다. 자연계에서 비타민 C는 L-형으로 존재하며, 이 L-형만이 생리 활성형이다. 반면 D-형은 합성이 가능하지만 활성이 거의 없어, 시판되는 합성 비타민 C 보충제는 대부분 L-ascorbic acid 또는 그 염이다. 이 L-ascorbic acid만이 사람을 포함한 동물의 생체 내 반응에 기능한다.
일부 사람을 대상으로 한 약동학 연구에서 합성 비타민 C와 천연 비타민 C 간에 일시적이고 경미한 차이가 관찰되기도 했지만, 이러한 차이는 생리 활성에 영향을 줄 수준은 아니었다. 다만 과일과 채소에는 다양한 영양소와 식물성 화합물이 함유되어 있어, 이들이 비타민 C의 생체이용률에 영향을 미칠 수 있다.
비타민 C의 품질은 화학적 형태, 즉 L-ascorbic acid 또는 sodium/calcium ascorbate, 리포좀 비타민 C, calcium ascorbate+DHA 대사체, 기타 염에 따라 달라질 수 있다. 염 처리로 인해 버퍼가 형성되어 산성 자극을 줄일 수 있고, DHA 대사체 첨가나 리포좀 처리는 흡수율을 증가시킬 수 있다. 이를 고려해 각자에게 맞는 비타민 C 보충제를 선택할 수 있다.
높은 흡수율은 적은 양의 복용으로 비타민 C 생체 필요량을 충족할 수 있지만, 비타민 C는 권장량의 2배 이상을 투여해도 안전한 물질이기 때문에 흡수율이 화학적 형태 선택의 결정적인 기준이 되지는 않는다.
제조 환경에 따라서도 비타민 C 제품의 품질이 달라질 수 있는데, 의약품 제조의 필수 기준인 GMP 시설 기준은 불순물 혼입 위험을 거의 제로화할 수 있다. 또한 의약품 제조 시에는 붕해도, 흡수율, 안정성을 엄격하게 관리하므로, 의약품으로 제조된 비타민 C는 여타 보충제에 비해 신뢰도가 높다.
비타민 C의 품질 유지를 위해 중요한 것은 빛과 열, 산소에 노출되지 않도록 보관하는 것이다. L-ascorbic acid는 산화되면 갈색으로 변하므로, 빛과 열, 산소의 노출에서 안전한 제형이나 포장도 중요할 수 있다.
시판되는 비타민 C 보충제의 가격은 다른 비타민제에 비해 저렴하고, 상대적으로 많은 사람들이 복용하는 것으로 조사되었다. 우리나라에서도 보충제로서 비타민 C의 소비량은 지속적으로 증가하고 있다.
비타민 C 보충제를 선택할 때 다음과 같은 사항들을 고려하면 안전성과 기대 효과를 높일 수 있을 것이다. ① 식품의약품안전처가 인증한 원료인지, ② 자신에게 적합한 용량의 제품인지, ③ 흡수율과 안정성을 고려한 용량과 제형인지, ④ GMP 시설에서 제조된 것인지, ⑤ 원하지 않는 첨가제가 포함되어 있는지, ⑥ 보관 중 변질의 위험이 어느 정도인지.
개의 댓글
댓글 정렬
그래도 삭제하시겠습니까?
